4. 日本に年収800万円以上はどのくらいいる?
国税庁「令和5年分 民間給与実態調査統計」を基に、年収800万円以上の割合を見てみましょう。
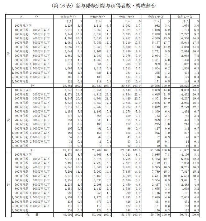
<男性>
- 800万円超 900万円以下:4.9%
- 900万円超 1000万円以下:3.6%
- 1000万円超 1500万円以下:6.3%
- 1500万円超 2000万円以下:1.4%
- 2000万円超 2500万円以下:0.4%
- 2500万円超:0.5%
<女性>
- 800万円超 900万円以下:1.0%
- 900万円超 1000万円以下:0.7%
- 1000万円超 1500万円以下:1.0%
- 1500万円超 2000万円以下:0.2%
- 2000万円超 2500万円以下:0.1%
- 2500万円超:0.1%
<男女計>
- 800万円超 900万円以下:3.2%
- 900万円超 1000万円以下:2.3%
- 1000万円超 1500万円以下:4.0%
- 1500万円超 2000万円以下:0.9%
- 2000万円超 2500万円以下:0.3%
- 2500万円超:0.3%
全給与所得者5076万人のうち、年収800万円以上の割合は12.0%となっています。男性のほうが年収が高い傾向にありますが、それでも17.1%に留まります。
