1. 年収600万超~700万円以下の割合(女性)
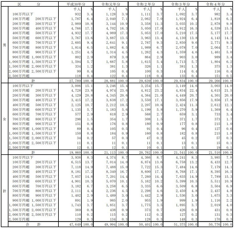
2023年9月に国税庁が公表した「令和4年分 民間給与実態調査統計」によると、2022年の給与所得者の総数は5077万6000人でした。
このうち「年収600万円超~700万円以下」の給与所得者の人数は350万4000人。
これは全給与所得者のうちの6.9%に当たります。また、全給与所得者の上位22.6%に含まれる年収レンジです。
年収600万円超~700万円以下の給与所得者を、女性のみに絞ると73万3000人。これは女性給与所得者の3.4%にあたります。
また、女性給与所得者の上位8.2%に含まれる層です。
