年収400万円と600万円では「手取り」がどれだけ違うのか
では、年収400万円と600万円では、手取り額にどれだけの差があるのでしょうか。
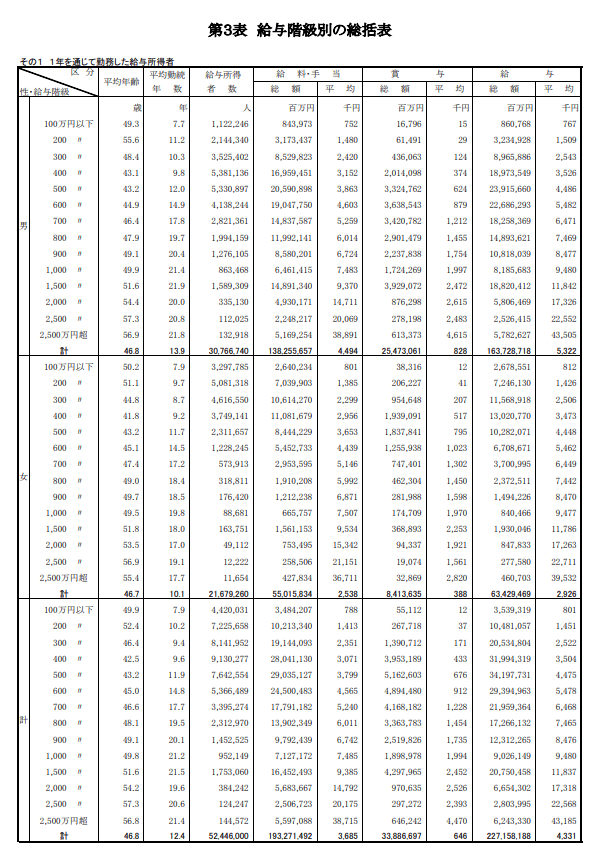
個人差があるものですが、国税庁の「第3表 給与階級別の総括表」を参考に見てみましょう。
年収400万円台の手取り
- 平均年齢:43.2歳
- 平均勤続年数:11.9年
- 平均給料・手当:379万9000円
- 平均賞与:67万6000円
- 平均給与(年収):447万5000円
年収400万円の場合、平均給料・手当の月額は約31万6000円。社会保険料や税金を引くと、個人差がありますが月の手取り額はおよそ25万円前後です。
次に、年収600万円台の手取り額を見てみましょう。
年収600万円台の手取り
- 平均年齢:46.6歳
- 平均勤続年数:17.7年
- 平均給料・手当:524万円
- 平均賞与:122万8000円
- 平均給与(年収):646万8000円
年収600万円の平均給料・手当の月額は約43万6000円となっており、手取りは33万円ほどと考えられます。
単純な試算となりますが、月で約8万円の差があります。
やはり年収400万円と年収600万円台では日々の生活費に差があり、年収600万円を目指したいという方もいるでしょう。
