【男女別】年収600万円を稼ぐ人はどのくらいいるのか
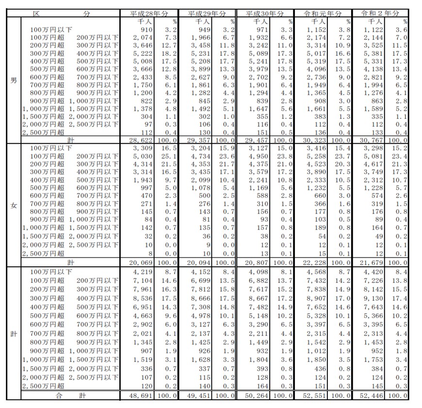
1年以内に離職した人をのぞくと、男性の年収は300~400万円が最多で538万人(17.5%)。
女性は年収100~200万円が最多で508万人(23.4%)となっており、男女間の給与水準には大きな差があることが分かります。
そこで、同資料の「給与階級別給与所得者数・構成比」から、年収600万円台の男女を抽出すると以下のような割合になりした。
年収600万円超700万以下の割合
- 男性 282万1000人(9.2%)
- 女性 57万4000人(2.6%)
全体 339万5000人(6.5%)
平成28年から各年の調査結果を追っても、この割合に大きな変化はないようです。
男性は女性の3倍強の人が該当していますが、それでも男性全体の1割弱にとどまっています。
参考までに、各種分類ごとの平均年収は以下のとおりです。
種別ごとの平均年収
全体 433万円
- 男性 532万円
- 女性 293万円
- 正規 496万円
- 非正規 176万円
日本で年収600万円を稼ぐ会社員は、高収入だといってよいでしょう。
