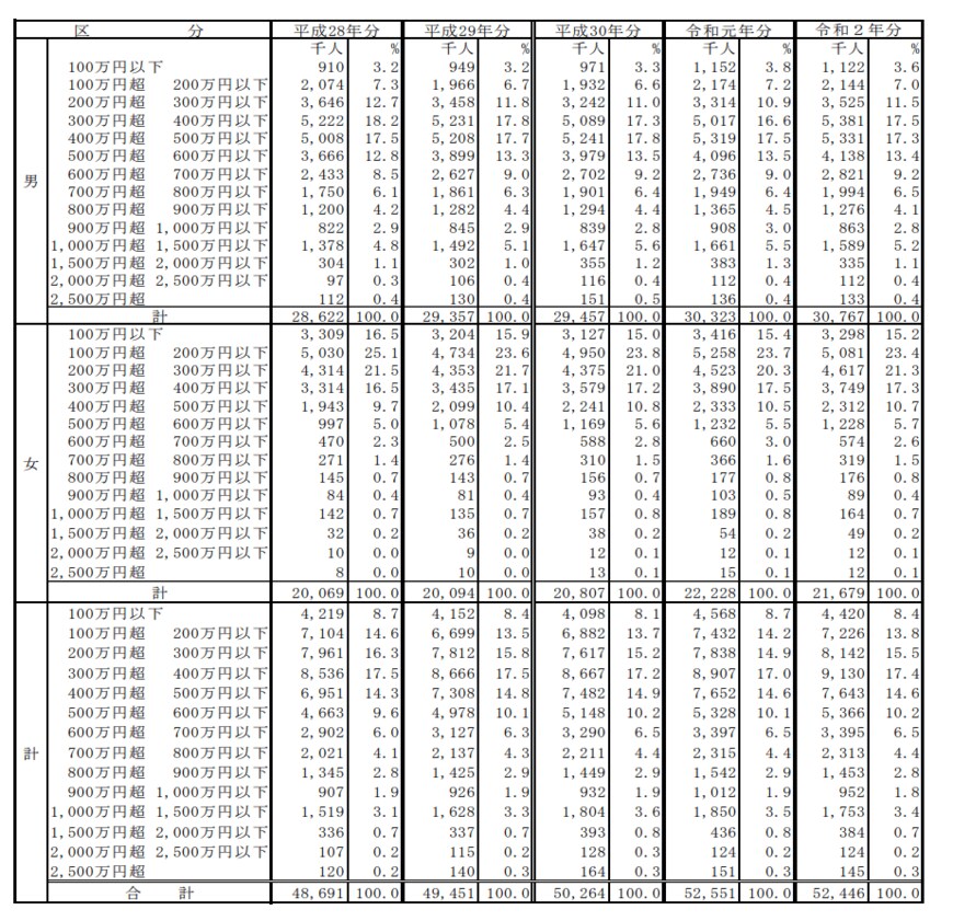
年収600万円の割合は何%か。600万円以上の仕事10種類を男女別に確認 年収600万円の仕事とは 2022.08.17 07:30 公開 執筆者尾崎 絵実 01/01 出典:国税庁「令和2年分 民間給与実態統計調査」 この写真の記事へ戻る この写真の記事へ戻る 尾崎 絵実 copy URL 執筆者 尾崎 絵実 ファイナンシャルアドバイザー 短期大学卒業後、富国生命に入社。その後、大手保険代理店を経て、ファイナンシャルアドバイザー業務に従事。これまでに約1000以上の世帯からお金のご相談を受け、ファイナンシャル・プラニングを実施。常に最新の情報を把握するように努め、保険だけではなく、様々な金融商品を活用した総合的な資産運用を目指す。2020年 MDRT 日本会会員。3級ファイナンシャル・プランニング技能士(FP3級)、一種外務員資格(証券外務員一種)を保有。 あわせて読みたい