3. 都道府県別「厚生年金」受給額ランキング!
特に厚生年金は収入や加入月数で個人差が大きいため、都道府県でも受給額に差があります。
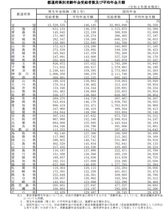
まずは厚生年金額が多い順に全て確認しましょう。
- 1位 神奈川県 16万6270円
- 2位 千葉県 16万817円
- 3位 東京都 15万9393円
- 4位 奈良県 15万8796円
- 5位 埼玉県 15万7022円
- 6位 愛知県 15万5471円
- 7位 兵庫県 15万5005円
- 8位 大阪府 15万2340円
- 9位 滋賀県 14万9266円
- 10位 京都府 14万7632円
- 11位 茨城県 14万7359円
- 12位 三重県 14万6410円
- 13位 静岡県 14万6170円
- 14位 広島県 14万5834円
- 15位 岐阜県 14万4728円
- 16位 山口県 14万3526円
- 17位 栃木県 14万3000円
- 18位 群馬県 14万2705円
- 19位 和歌山県 14万1774円
- 20位 岡山県 14万0741円
- 21位 福岡県 14万0695円
- 22位 宮城県 13万9269円
- 23位 富山県 13万8863円
- 24位 山梨県 13万8669円
- 25位 香川県 13万8568円
- 26位 長野県 13万8563円
- 27位 石川県 13万6402円
- 28位 北海道 13万6270円
- 29位 愛媛県 13万4836円
- 30位 福井県 13万4344円
- 31位 長崎県 13万2258円
- 32位 新潟県 13万2235円
- 33位 大分県 13万0962円
- 34位 福島県 12万9892円
- 35位 佐賀県 12万8115円
- 36位 徳島県 12万7990円
- 37位 島根県 12万7742円
- 38位 鳥取県 12万7306円
- 39位 鹿児島県 12万7047円
- 40位 高知県 12万7009円
- 41位 熊本県 12万6561円
- 42位 岩手県 12万6274円
- 43位 山形県 12万4286円
- 44位 沖縄県 12万4197円
- 45位 宮崎県 12万3098円
- 46位 秋田県 12万2695円
- 47位 青森県 12万2189円
1番多い神奈川県の「16万6270円」と青森県の「12万2189円」では4万4081円も違います。約4万円というのは想像していたより多いという方もいるのではないでしょうか。年間で48万円にもなります。
地域によって企業規模や種類、年収などの傾向が異なるため、これだけの開きが出るのでしょう。
