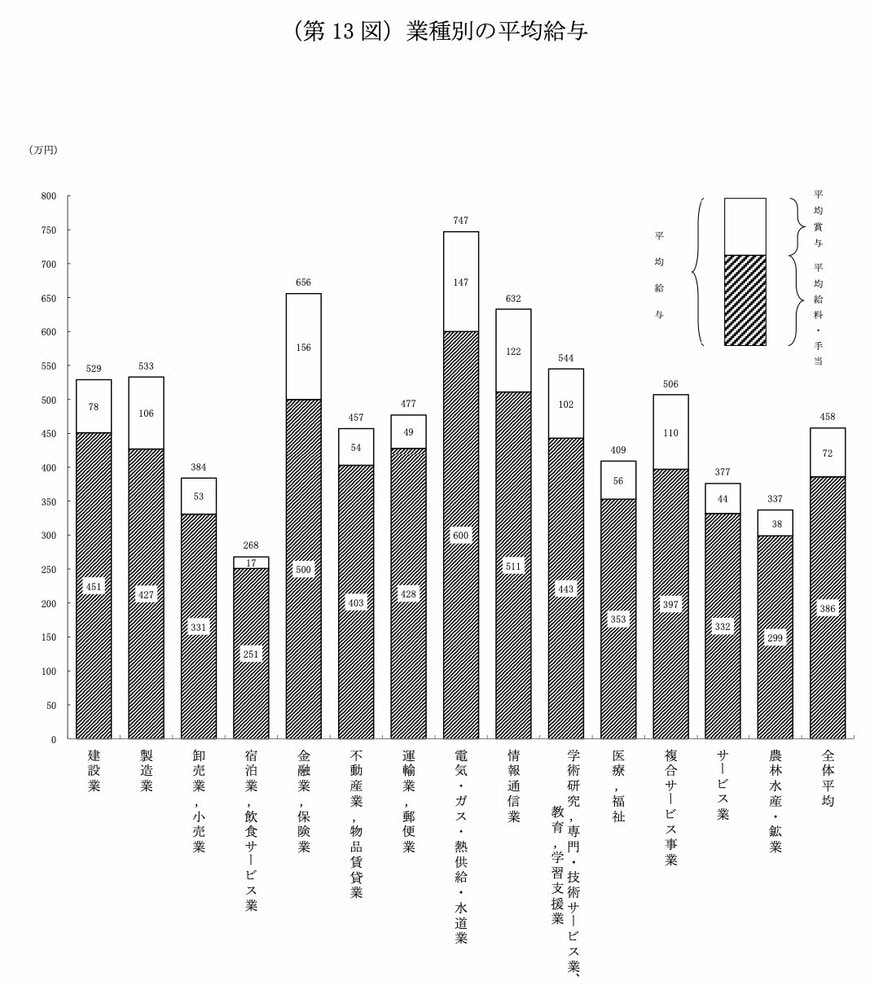
2. 年収が高い業種トップは「電気・ガス・熱供給・水道業」で747万円
国税庁の「令和4年分 民間給与実態統計調査」によると、最も年収が高い業種は電気・ガス・熱供給・水道業で、平均年収は747万円となりました。
【年収が高い業種・平均年収 TOP3】
- 電気・ガス・熱供給・水道業:平均年収747万円
- 金融業・保険業:平均年収656万円
- 情報通信業:平均年収632万円
平均年収の高い業種は、エネルギー供給や公益事情に関わる職業であり、専門性が求められる業種であることから比較的高収入であるとうかがえます。
一方で、業種別における平均年収が最も低かったのは宿泊業・飲食サービスで、平均年収は268万円でした。
宿泊業・飲食サービス業は、賃金水準が低く、正規雇用よりも非正規雇用の割合が高い傾向にあることから、平均年収が他の業種と比較して低くなっているのでしょう。
このように、業種によって平均年収が大きく変わることから、年収アップを視野に入れたキャリア選択では業種の検討も重要となります。
次章では、年収アップを目指すための方法について紹介していきましょう。
