3. 【年金エイジ】65歳以上は公的年金をどのくらいもらっている?
ここでは、65歳以降のシニア世代が受け取る「年金受給額」を見ていきます。
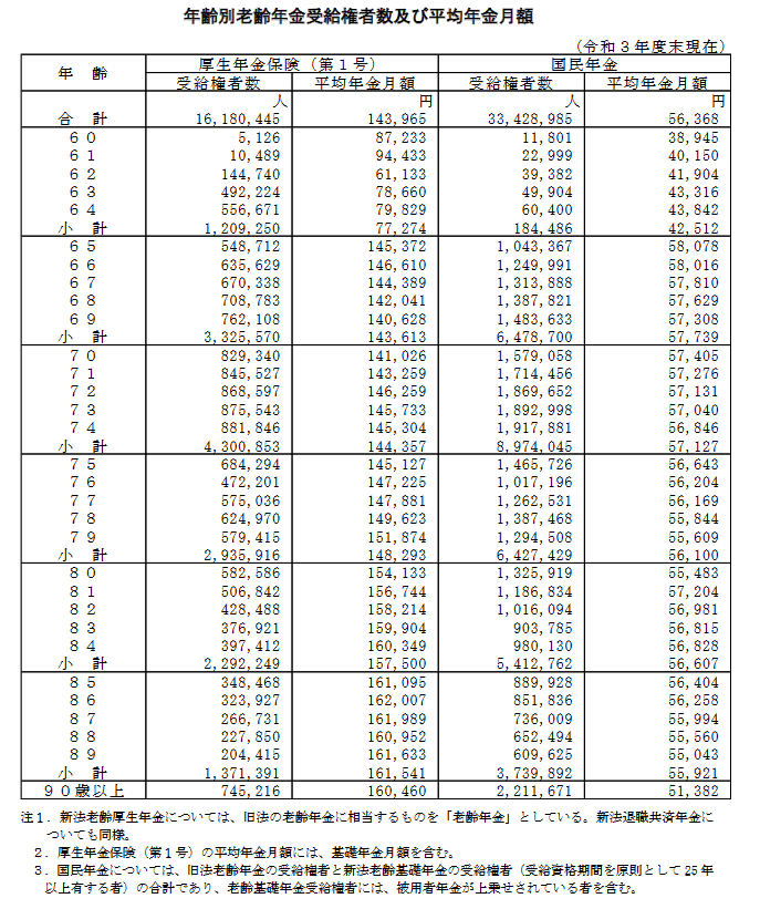
厚生労働省年金局が公表する「令和3年度 厚生年金保険・国民年金事業の概況」から、65歳以上の「年金エイジ」が受け取る年金額について、年齢ごとの平均額を見てみましょう。
3.1 国民年金のみを受取る場合
平均:5万6368円
- 65歳:5万8078円
- 66歳:5万8016円
- 67歳:5万7810円
- 68歳:5万7629円
- 69歳:5万7308円
- 70歳:5万7405円
- 71歳:5万7276円
- 72歳:5万7131円
- 73歳:5万7040円
- 74歳:5万6846円
- 75歳:5万6643円
- 76歳:5万6204円
- 77歳:5万6169円
- 78歳:5万5844円
- 79歳:5万5609円
- 80歳:5万5483円
- 81歳:5万7204円
- 82歳:5万6981円
- 83歳:5万6815円
- 84歳:5万6828円
- 85歳:5万6404円
- 86歳:5万6258円
- 87歳:5万5994円
- 88歳:5万5560円
- 89歳:5万5043円
- 90歳以上:5万1382円
3.2 厚生年金保険を受け取る場合
※下記の年金月額には、国民年金の月額も含みます。
平均:14万3965円
- 65歳:14万5372円
- 66歳:14万6610円
- 67歳:14万4389円
- 68歳:14万2041円
- 69歳:14万628円
- 70歳:14万1026円
- 71歳:14万3259円
- 72歳:14万6259円
- 73歳:14万5733円
- 74歳:14万5304円
- 75歳:14万5127円
- 76歳:14万7225円
- 77歳:14万7881円
- 78歳:14万9623円
- 79歳:15万1874円
- 80歳:15万4133円
- 81歳:15万6744円
- 82歳:15万8214円
- 83歳:15万9904円
- 84歳:16万349円
- 85歳:16万1095万円
- 86歳:16万2007円
- 87歳:16万1989円
- 88歳:16万952円
- 89歳:16万1633円
- 90歳以上:16万460円
各年齢の平均月額を見ると、国民年金のみを受け取る場合は5万6368円です。
厚生年金保険は加入期間や年収により個人差がありますが、平均すると14万3965円となっています。
年金収入だけで十分か否かは個々のライフスタイルにより異なりますが、国民年金の場合は、年金だけでやり繰りをするのは難しいと考えられます。
年金だけで足りない場合は、貯蓄を取り崩すことになりますが、65歳以上の年金エイジは、どれくらい貯蓄をしているのでしょうか。
4. 【年金エイジ】65歳以上・無職世帯の貯蓄事情
ここからは、65歳以上世帯の貯蓄事情について、総務省統計局の「家計調査報告(貯蓄・負債編)2021年平均結果(二人以上世帯)」のデータをもとに確認します。
4.1 【年金エイジ】65歳以上・無職世帯「貯蓄額とその内訳」
《内訳》
- 通貨性預貯金:623万円
- 定期性預貯金:924万円
- 生命保険など:403万円
- 有価証券:388万円
- 金融機関外:4万円
家計調査年報(家計収支編)2021年(令和3年)Ⅱ総世帯及び単身世帯の家計収支によると、同世帯の平均支出は毎月25万5100円です。
国民年金の平均受給額が5万6368円、厚生年金の平均受給額が14万3965円ですので、年金収入だけでは不足することがわかります。
- 国民年金:25万5100円ー5万6368円=19万8732円(不足)
- 厚生年金:25万5100円ー14万3965円=11万1135円(不足)
国民年金の場合、毎月約20万円を、厚生年金の場合は毎月約11万を貯金から取り崩すことになります。
もし毎月20万円を生活費のために貯蓄から取り崩した場合、約9.8年で平均貯蓄額である2342万円がなくなってしまいます。
とはいえ、貯蓄額を増やすのは簡単ではありませんよね。
もうひとつ、着目していただきたいのが資産の内訳です。
銀行などの預貯金が全体の7割を占めています。
現在の日本は超低金利かつ物価上昇により、実質的に資産が目減りしている状況です。すぐに引き出せる現金預金も大切ですが、貯蓄の方法にも工夫していく必要がありそうですね。

