実際「年収400~500万円」は何パーセントいるのか
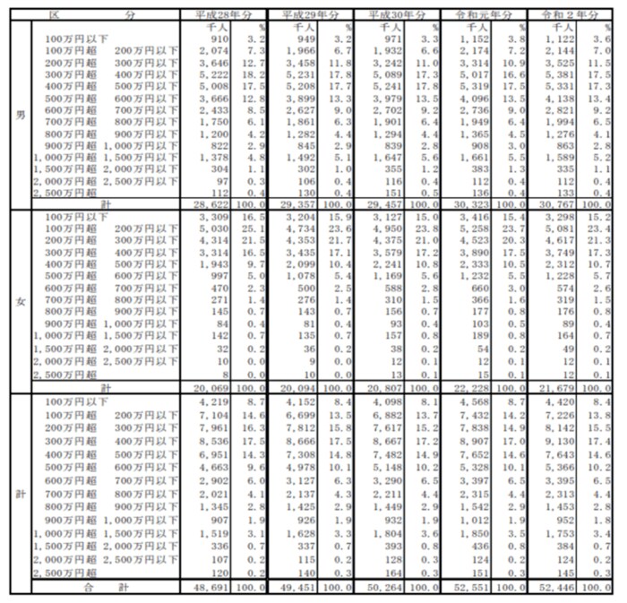
同資料では、給与階級別の人数も確認できます。下の図をご覧ください。
給与所得者の5244万6000人に対し、「年収400万円超500万円以下」は764万3000人。つまり全体の14.6%が「年収400~500万円」ということです。平均は433万円でしたが、ボリュームゾーンは「300万円超400万円以下」でした。
同じ年収帯であっても、生活レベルが同じとは限りません。ただ、約80%が年収600円以下に収まっていることから、それ以上の年収は少数派であることはわかります。つまり、多くの人は年収600万円以下の中で生活のやりくりをしているということです。
