日本経済団体連合会によると、2023年冬のボーナスの平均は90万6413円でした。
実際に、業種を問わずボーナスの支給額は、例年より増えているのでしょうか。
今回は、年収が600万円を超える業種について解説します。
1. 年収600万円を超える割合
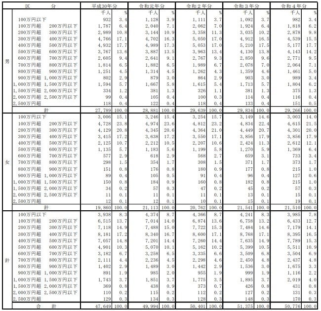
国税庁は2023年9月27日に「令和4年分民間給与実態統計調査」を発表しました。
あくまでも勤労による給与所得を得ている人に限定されますが、全体の約22.6%が年収600万円を超えています。
およそ5人に1人が年収600万円を超えています。
男女別でみると、男性は全体の33.4%、女性は全体の8.2%が年収600万円を超えていました。
出産や結婚でキャリアを中断してしまう女性に対して、男性は仕事を続けるケースが多いので、割合としては男性が多くなる傾向にあります。
では、どのような業種が年収600万円を超えるのか、確認しましょう。
 
 
        
