4. 生活保護の「冬季加算」について
では最後に、生活保護を受けた際に冬に加算される「冬季加算」について解説していきます。
冬季加算は、冬季期間の寒さをしのぐ目的で「暖房費用」が加算される手当を指します。
冬季加算は、生活保護の1つである「生活扶助費」として支給され、寒い地域・暖かい地域問わず全国の生活保護受給者に対して支給されます。
4.1 冬季加算される金額はいくらか
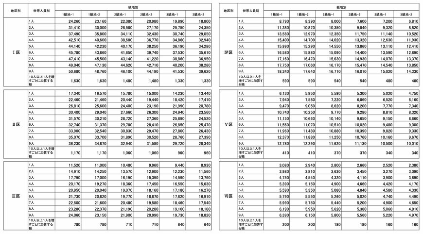
冬季加算は、「地域区分」「世帯人員」「地域の級地」によって金額が区分されています。
冬季加算の地域区分はⅠ区からⅥ区までの「6つ」に分かれており、各区分それぞれで冬季加算の基準が決められています。
上記の地域区分に加えて、世帯人員と地域の級地で支給額を決めていきます。
上記表からも分かるとおり、冬季加算される金額は地域によって異なり、寒い地域のほうが暖かい地域よりも、冬季加算額が高い傾向にあります。
また、世帯人員が増えるほど住居が広くなることを想定し、人員が多くなるに応じて加算額も増えていきます。
なお、冬季加算には下記の基準を満たす世帯人員がいる場合に、「特別基準額」が支給されます。
- 傷病や障害による療養のため外出が著しく困難で常時在宅が必要な場合
- 乳児(1歳の誕生日の前日までの間にある児童)がいる場合
- 医師の診断で療養のために外出が困難で常時在宅が必要な場合
上記に該当する場合は、特別基準額として通常の1.3倍が加算されることも覚えておけると良いです。
5. 生活保護は国民誰もが利用できる制度
本記事では、生活保護の概要や実態について詳しく解説していきました。
近年の生活保護の受給者割合を見ると約2世帯に1世帯が高齢者世帯となっており、老後に困窮する世帯が増えている現状がみてとれます。
生活保護は、最低限の生活をするための公的制度であり、要件に該当する場合は国民の誰もが利用できる制度です。
もし近年の経済悪化の影響で生活が困窮している場合は、一度自治体の福祉事務所などで相談してみると良いでしょう。
参考資料
- 厚生労働省「生活保護制度に関するQ&A」
- 厚生労働省「生活保護制度の概要等について」
- 厚生労働省「全国厚生労働関係部局長会議資料」
- 厚生労働省「生活保護業務の効果的・効率的実施及び不正受給対策について」
- 京都市「【広報資料】生活保護の不正受給(詐欺)容疑に係る元被保護者の逮捕について」
- 厚生労働省「生活保護の被保護者調査(令和5年1月分概数)の結果を公表します」
- 厚生労働省社会・援護局保護課「冬季加算について」
- 厚生労働省「2.生活保護法による保護の実施要領について」
太田 彩子

