65歳は、お金の「節目」になります。65歳定年の人は退職金を受け取りますし、年金の受給開始も基本的には65歳からです。
支出面で目立つのは、介護保険料です。介護保険料は、65歳から算定基準が変わります。人によっては、これまでよりも高くなる可能性があるでしょう。65歳からの介護保険料は、月額いくらになるのでしょうか。
この記事では、介護保険料の負担額を、全国平均額や保険料の仕組みを交えて解説します。
1. 65歳以上の介護保険料の平均はいくら?
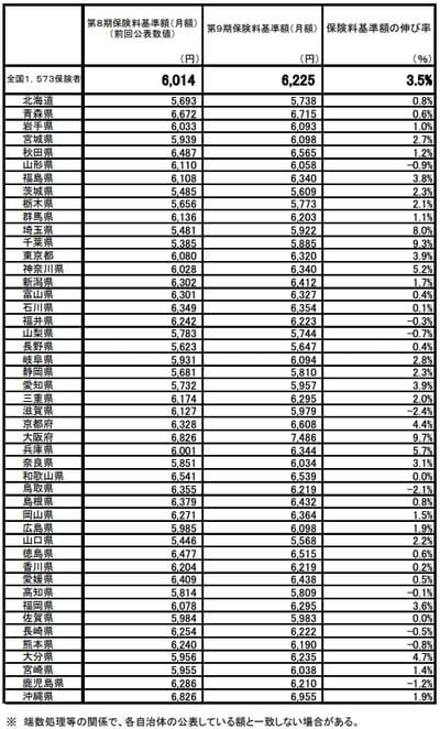
65歳以上の介護保険料は、3年に1度見直されます。2024年度から2026年度までの3年間の保険料の全国平均は、6225円です。前回の3年間の保険料が6014円ですから、211円(3.5%)上昇しています。
介護保険料の徴収が始まった2000年の徴収額が2911円だったことを考えると、この25年で2倍以上も保険料負担は増えています。今後も高齢化によって介護サービスの利用者が増え、介護保険料はさらに引き上げられていく可能性が高いでしょう。
全国平均額の内訳を見てみると、おおむね5000円台後半から6000円台前半となっています。一方、大阪府は7486円と全国で唯一の7000円台です。また、沖縄県は6955円と7000円に迫っており、青森県も6715円と比較的高額です。
次章では、このように地域ごとによって保険料が異なる理由を解説します。
