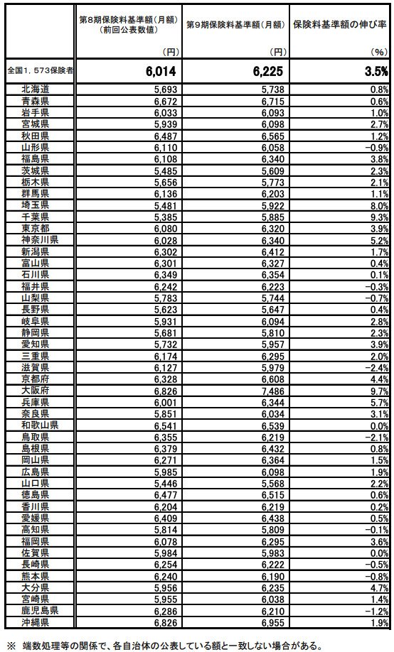
介護保険料(第1号)都道府県別
02/05
【国民健康保険料】年金収入が年間約175万円の場合(例:新宿区)
03/05
後期高齢者医療保険料(都道府県別)
04/05
国民健康保険料の所得額に応じた減額割合
05/05
石上 ユウキ
石上 ユウキ