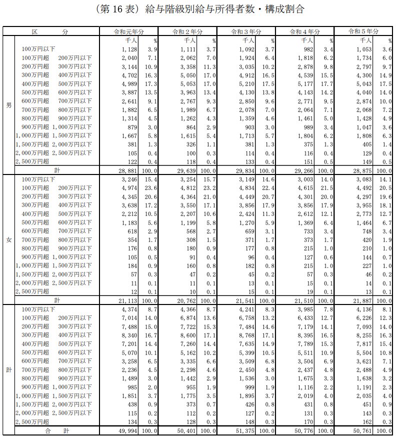
8月15日は年金支給日!【厚生年金+国民年金】年金額「月額20万円」の人の現役時代の平均年収はどれくらい? 年金を月20万円に近づけるためのポイント 2025.07.18 11:35 公開 執筆者石上 ユウキ 【厚生年金保険】年金受給額ごとの受給権者数グラフ 2/5 出所:厚生労働省年金局「令和5年度 厚生年金保険・国民年金事業の概況」をもとにLIMO編集部作成 年金月額20万円の人の厚生年金(基礎年金除く)の受給額 3/5 出所:筆者作成 年金月額20万円の人の年収 4/5 出所:筆者作成 給与階級別給与所得者数 5/5 出所:国税庁「令和5年分 民間給与実態統計調査」 この写真の記事へ戻る 石上 ユウキ copy URL 著者 石上 ユウキ AFP/2級ファイナンシャル・プランニング技能士(FP2級)/元公務員 北海道教育大学旭川校卒業後、地方公務員として北海道内の市役所に入庁。経済部署では中小企業向け助成金の支給や学生の就職支援を担当。税務部署では主として「固定資産税」の業務に携わったほか、「市民税」の証明書発行や「国民健康保険」等の業務にも従事した。2022年8月に退職し、以後フリーランスの金融ライターとして活動。2級ファイナンシャル・プランニング技能士(FP2級)、AFP(Affiliated Financial Planner)保有。 クレジットカードや節約への造詣が深いのが特徴。また、NISAやiDeCo、高配当株式といった投資経験も強み。自身の経験を活かしながらわかりやすい記事を執筆中。小学校教員免許、中学・高校(国語科)教員免許保有。 あわせて読みたい