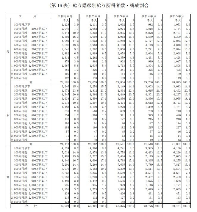
子1人育てるための最低限の収入額は平均831万円…日本で年収800万円以上は何%なのか 子どもを持つ場合、経済的に「不安がある派」は85.6% 2024.10.21 18:10 公開 執筆者加藤 聖人 子を持つ場合の経済不安 02/05 出所:Job総研「2024年 日本経済の意識調査〜少子化編〜」 学費を払える自信と子育てに必要な最低限の収入 03/05 出所:Job総研「2024年 日本経済の意識調査〜少子化編〜」 給与階級別給与所得者数・構成割合 04/05 出所:国税庁「令和5年分 民間給与実態調査統計」 平均給与の推移 05/05 出所:国税庁「令和5年分 民間給与実態調査統計」 この写真の記事へ戻る 加藤 聖人 copy URL 執筆者 加藤 聖人 2級ファイナンシャル・プランニング技能士(FP2級) 2級ファイナンシャル・プランニング技能士(FP2級)、一種外務員資格(証券外務員一種)、生命保険募集人。証券会社で約8年間、株式や投資信託、生命保険等の販売に携わる。退職後はフリーライター兼個人投資家として活動。金融ジャンルの記事を中心に執筆しつつ、日々のマーケット動向も注視している。 あわせて読みたい