2. 【比較】厚生年金の平均年金月額「多い都道府県」「少ない都道府県」はどこ?
厚生年金の平均受給額は、都道府県で差があります。では、平均年金月額が「多い都道府県」「少ない都道府県」はどこなのでしょうか。
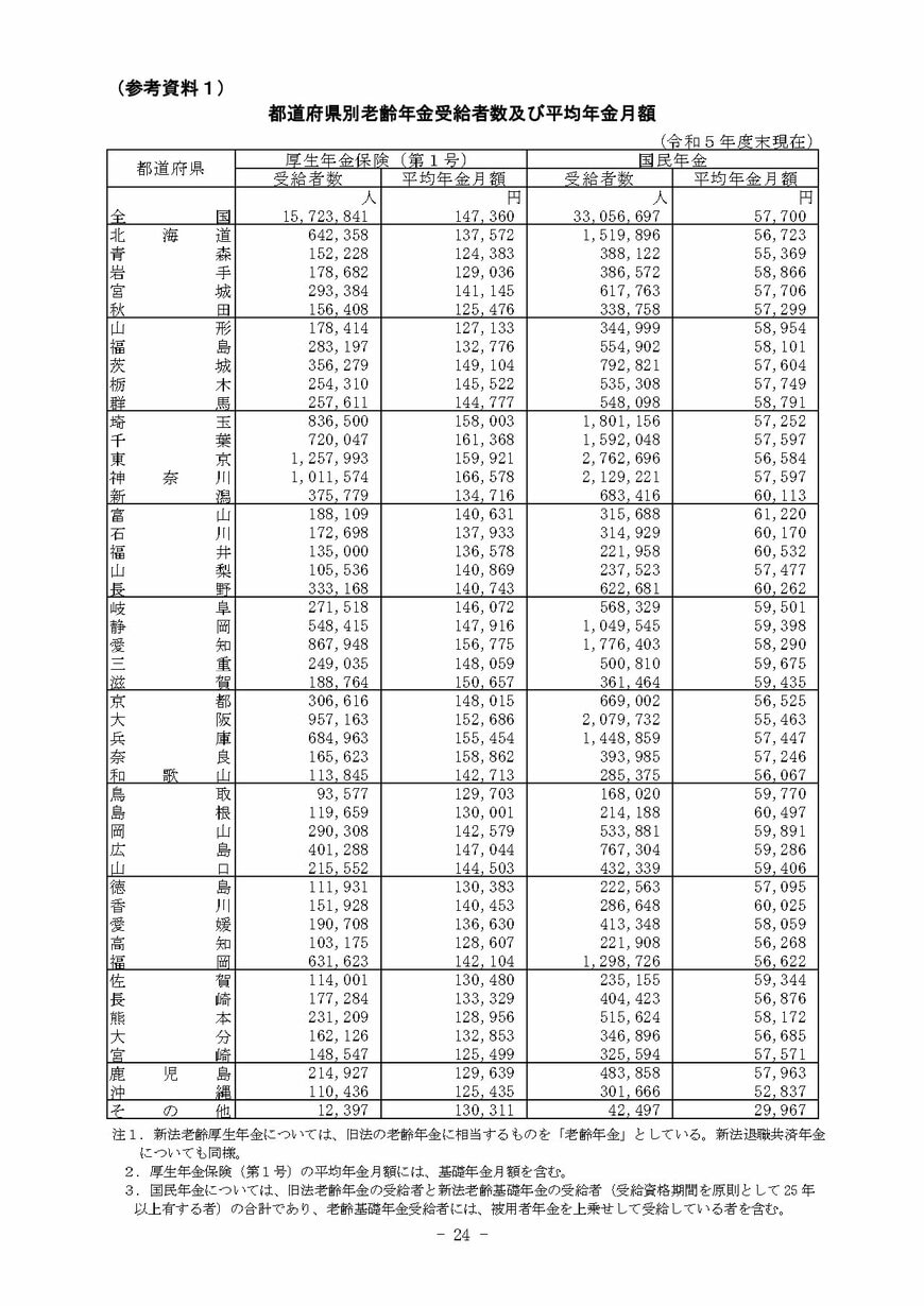
厚生労働省の「令和5年度 厚生年金保険・国民年金事業の概況」より、ランキング形式で見ていきましょう。
2.1 厚生年金の平均年金月額が多い都道府県ベスト5
- 1位 神奈川県:16万6578円
- 2位 千葉県:16万1368円
- 3位 東京都:15万9921円
- 4位 奈良県:15万8862円
- 5位 埼玉県:15万8003円
2.2 厚生年金の平均年金月額が少ない都道府県ベスト5
- 1位 青森県:12万4383円
- 2位 沖縄県:12万5435円
- 3位 秋田県:12万5476円
- 4位 宮崎県:12万5499円
- 5位 山形県:12万7133円
- 北海道:13万7572円
- 青森県:12万4383円
- 岩手県:12万9036円
- 宮城県:14万1145円
- 秋田県:12万5476円
- 山形県:12万7133円
- 福島県:13万2776円
- 茨城県:14万9104円
- 栃木県:14万5522円
- 群馬県:14万4777円
- 埼玉県:15万8003円
- 千葉県:16万1368円
- 東京都:15万9921円
- 神奈川県:16万6578円
- 新潟県:13万4716円
- 富山県:14万631円
- 石川県:13万7933円
- 福井県:13万6578円
- 山梨県:14万869円
- 長野県:14万743円
- 岐阜県:14万6072円
- 静岡県:14万7916円
- 愛知県:15万6775円
- 三重県:14万8059円
- 滋賀県:15万657円
- 京都府:14万8015円
- 大阪府:15万2686円
- 兵庫県:15万5454円
- 奈良県:15万8862円
- 和歌山県:14万2713円
- 鳥取県:12万9703円
- 島根県:13万1円
- 岡山県:14万2579円
- 広島県:14万7044円
- 山口県:14万4503円
- 徳島県:13万383円
- 香川県:14万453円
- 愛媛県:13万6630円
- 高知県:12万8607円
- 福岡県:14万2104円
- 佐賀県:13万480円
- 長崎県:13万3329円
- 熊本県:12万8956円
- 大分県:13万2853円
- 宮崎県:12万5499円
- 鹿児島県:12万9639円
- 沖縄県:12万5435円
都道府県別の平均年金月額において1位の神奈川県と47位の青森県では、その差は月額4万円以上になります。年間で考えると50万円を超えるため、地域ごとの格差は小さいとはいえないでしょう。
もちろん、厚生年金の受給額は居住地によって一律に決まるわけではありません。では、なぜ都道府県によって差があるのでしょうか。
その理由は、厚生年金受給額の決まり方にあります。
