年収1000万円以上の人の割合は4.9%
年収1000万円以上の人はどれくらいいるのでしょうか。
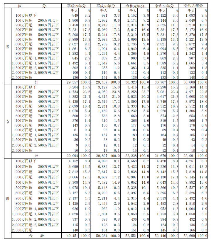
まずは、国税庁「2021(令和3)年分 民間給与実態統計調査」にて、正規・非正規社員で1年を通じて勤務した人の給与階級別の割合を見てみましょう。
《給与階級別の割合》
- 100万円以下:425万934人(8.1%)
- 100~200万円以下:701万830人(13.3%)
- 200~300万円以下:781万8298人(14.8%)
- 300~400万円以下:914万4916人(17.3%)
- 400~500万円以下:788万2145人(15.0%)
- 500~600万円以下:552万6977人(10.5%)
- 600~700万円以下:352万5593人(6.7%)
- 700~800万円以下:243万2403人(4.6%)
- 800~900万円以下:151万8177人(2.9%)
- 900~1000万円以下:100万4321人(1.9%)
- 1000~1500万円以下:184万9562人(3.5%)
- 1500~2000万円以下:43万2333人(0.8%)
- 2000~2500万円以下:13万6249人(0.3%)
- 2500万円超:16万6275人(0.3%)
- 合計:5269万9013人
これより、年収が1000万円以上の人は、全体のたったの4.9%とわずかであることがわかります。
年収1000万円以上を得るというのは、なかなか難しいといえるのではないでしょうか。
一方、最も多い給与階級は「300~400万円以下:914万4916人」で17.3%です。
年収1000万円以上の人数と比べ、3.5倍の人がいます。
次いで多いのが「400~500万円以下:788万2145人」の15.0%。
両方を合わせると、32.3%にもなります。
次は、300~500万円の給与階級の方が貯金1000万円を目指すのは可能かどうかをみていきましょう。
