年収1000万円以上は日本にどのくらいいるか?
ここまで、転職の実態調査の結果をながめてきました。
年収1000万円以上の人の転職回数が多いことがわかりましたが、実際に年収1000万円をもらっている人はどのくらいいるのでしょうか。
ここからは、国税庁の最新データからチェックしていきます。
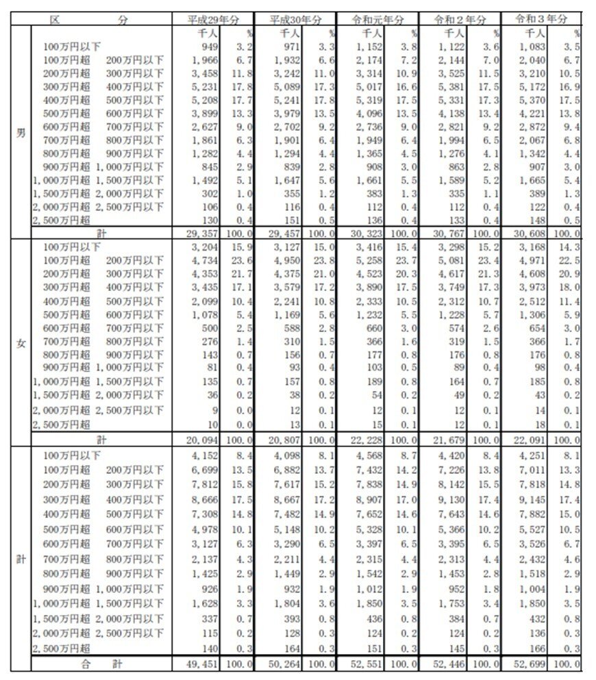
1年を通じて勤務した給与所得者5270万人のうち、年収1000万円以上のひとの割合は全体の5%程度にとどまります。
男性では、年間給与額400万円超500万円以下の者が537万人(同17.5%)と最も多く、次いで300万円超400万円以下の者が517万人(同16.9%)となっています。
女性では、100万円超200万円以下の者が497万人(同22.5%)と最も多く、次いで200万円超300万円以下の者が461万人(同20.9%)となっています。
全体の平均年収が443万円であることも踏まえると、年収1000万円はかなりの高水準であるといえるでしょう。
