年収600万円の割合は?まず年収分布をチェック!
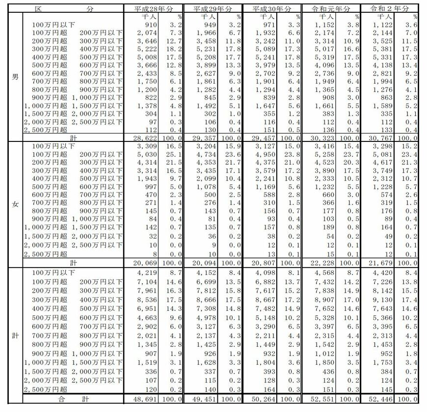
国税庁の「令和2年分 民間給与実態統計調査」の「(第16表)給与階級別給与所得者数・構成比」より、男女をあわせた年収の分布をみてみましょう。
上記を見て分かるように、年収600万円台は6.5%。また年収600万円を超えるのは約2割で、5人に1人と多くありません。男女別に見ると、男性は約30%、女性は約6%の割合です。男女によってかなり差もありますね。
男性の年齢別平均給与を見ると、年収600万超の世代は45歳~59歳までとなっています。一般的には、管理職や役員などに昇格して現役時代のラストスパートにようやく到達する給与水準だといえるでしょう。
