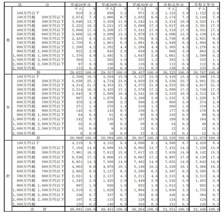
【年収600万円】は日本で何割か。平均600万円超の業種を男女別に確認 年収600万円の手取りもチェック 2022.06.13 05:30 公開 執筆者宮内 勇資 監修者太田 彩子 01/01 【出典】国税庁 「令和2年分 民間給与実態統計調査」 この写真の記事へ戻る この写真の記事へ戻る 宮内 勇資 copy URL 執筆者 宮内 勇資 ファイナンシャルアドバイザー 専修大学商学部卒業後、水戸証券株式会社に入社。リテール営業に従事し、入社後より卓越した成績を残す。受賞歴多数。国内外株式、投資信託、債券などが得意分野。キャリアの途中からは人材育成にも携わり、主に若手社員の能力向上に大きく貢献した。現在は金融IT企業で個人向け資産運用のコンサルティング業務を行う。ヒアリングを重視したコンサルティングに定評がある。AFP(Affiliated Financial Planner)、一種外務員資格(証券外務員一種)を保有。 監修者 太田 彩子 株式会社モニクルリサーチ メディア編集本部 LIMO編集部記者/編集者/元公務員 ニ種外務員資格(証券外務員ニ種)保有。小学校教諭一種免許、幼稚園教諭一種免許、特別支援学校一種免許取得。 京都教育大学卒業。株式会社モニクルリサーチが運営する、くらしとお金の経済メディア「LIMO(リーモ)」のLIMO編集部において、厚生労働省管轄の公的年金制度や貯蓄、社会保障、退職金など、金融の情報を中心に執筆中。大学卒業後は教育関連企業での営業職を経て、2010年に地方自治体の公務員として入職。「国民健康保険」「後期高齢者医療制度」「福祉医療」等の業務に従事した。主に国民健康保険料の賦課、保険料徴収、高額療養費制度などの給付、国民年金や国民健康保険への資格切り替え、補助金申請等の業務を担う。特に退職に伴う年金や保険の切り替えでは、手続きがもれることで不利益を被ることがないよう丁寧な窓口対応を心がけた。その後、保険代理店にてパートとしてマーケティング業務に従事。保険料比較サイトの立ち上げに参加した。乗合保険会社の商品ページだけでなく、保険の知識を普及するためのページ作成にも参加。(2026年1月5日更新) あわせて読みたい