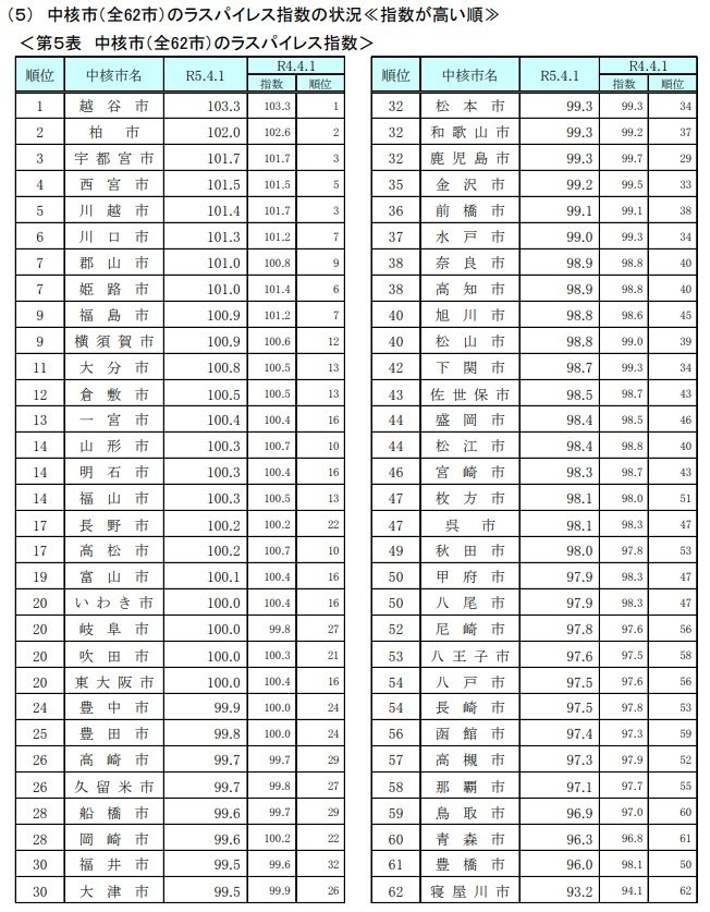
【地方公務員への転職】有給取得率・平均給与月額・地域手当を徹底調査! 【一覧表つき】地域手当の支給率が国基準を上回る都道府県はどこ? 2024.04.17 18:10 公開 執筆者加藤 聖人 平均給与月額 02/05 出所:総務省「令和5年地方公務員給与実態調査結果等の概要」 中核市(全62市)のラスパイレス指数(高い順) 03/05 出所:総務省「令和5年地方公務員給与実態調査結果等の概要」 地方公務員の地域手当について 04/05 出所:総務省「令和5年地方公務員給与実態調査結果等の概要」 国基準を上回る支給率の団体 05/05 出所:総務省「令和5年地方公務員給与実態調査結果等の概要」 この写真の記事へ戻る 加藤 聖人 copy URL 執筆者 加藤 聖人 2級ファイナンシャル・プランニング技能士(FP2級) 2級ファイナンシャル・プランニング技能士(FP2級)、一種外務員資格(証券外務員一種)、生命保険募集人。証券会社で約8年間、株式や投資信託、生命保険等の販売に携わる。退職後はフリーライター兼個人投資家として活動。金融ジャンルの記事を中心に執筆しつつ、日々のマーケット動向も注視している。 あわせて読みたい