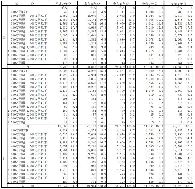
【最新】年収600万円を超える3つの業種を解説!でも年収が高すぎるのも考えもの? 年収600万円は手当や減税の対象外になりにくい 2024.01.05 14:40 公開 執筆者川辺 拓也 01/03 出所:国税庁「令和4年分民間給与実態統計調査結果」 この写真の記事へ戻る 次の写真一覧へ copy URL 執筆者 川辺 拓也 2級ファイナンシャル・プランニング技能士/トータル・ライフ・コンサルタント 立命館大学心理学部を卒業後、大手総合保険代理店で年間300件を超える世帯のライフプランや家計の相談に従事。特定の金融商品だけでなく、幅広く中立的な視点でコンサルティングを実施するため、独立系のFP事務所へと移籍し現在も活動中。FPとしての経験や知識を活かした執筆業も並行して行っており、複数の金融メディアやニュースサイトに月間で20記事から30記事ほど寄稿している。保有資格:2級ファイナンシャル・プランニング技能士(FP2級)、トータル・ライフ・コンサルタント あわせて読みたい