3. 「年金月額20万円」の人の現役時代の年収はいくら?
年金を月額20万円受け取る人の現役時代の年収は、いくらなのでしょうか。実際に計算してみましょう。
年金額から年収を導くには、厚生年金の受給額の計算をもとに算出します。厚生年金の受給額は、金額に応じて変わる「報酬比例部分」によっておおよその金額が決まります。報酬比例部分の計算式は、以下のとおりです。
報酬比例部分=平均標準報酬額×5.481/1000×2003年4月以降の加入月数
※2003年4月以降に厚生年金保険に加入した場合の計算式。
※平均標準報酬額とは、各月の標準報酬月額と標準賞与額の総額を、2003年4月以降の加入期間で割って得た額のこと。
この平均標準報酬額がわかれば、現役時代のおおよその年収を把握できます。
年金月額20万円の人が、22歳から60歳までの38年間働き続けたとして、平均標準報酬額を計算してみましょう。年金月額20万円の場合、うち約6万円は基礎年金です。2025年度の基礎年金額を用いるとすると、厚生年金として受け取る金額は13万692円となります。(詳細以下画像)
厚生年金を月額13万692円受け取っているものとして、平均標準報酬額を計算してみると、年収額は752万9856円となります。(詳細以下画像)
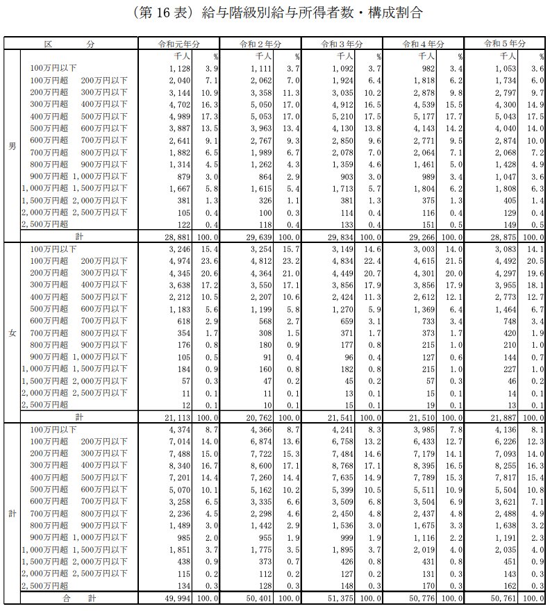
年収が750万円以上ある人は決して多くありません。国税庁の「令和5年分 民間給与実態統計調査」によれば、年収700万円超の人は給与所得者の15.9%となっています。(詳細以下画像)
年金を月20万円受け取るには「年収約750万円」というハードルを超えなくてはなりません。次章では、年金を月20万円に近づけるポイントを解説します。


