2024年9月25日、国税庁「令和5年分 民間給与実態統計調査」の最新結果が公開されました。
同調査の内容を見ると、2023年における平均給与は459万5000円と前年比で0.4%の伸びとなり、3年連続の増加となっています。
今回は、全給与所得者のうち「年収600万円超700万円以下」の割合がどのくらいなのかを見ていきます。
また、業種別の平均給与と年収600万円超700万円以下の割合も見ていきましょう。
1. 年収600万円超700万円以下の割合は7.1%
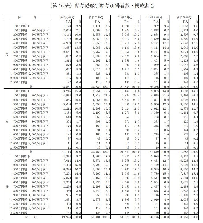
国税庁「令和5年分 民間給与実態統計調査結果」によると、給与階級別の給与所得者数・構成割合は以下のようになっています。
1.1 男性の年収
- 100万円以下:105万3000人 3.6%
- 100万円超 200万円以下:173万4000人 6.0%
- 200万円超 300万円以下:279万7000人 9.7%
- 300万円超 400万円以下:430万人 14.9%
- 400万円超 500万円以下:504万3000人 17.5%
- 500万円超 600万円以下:404万人 14.0%
- 600万円超 700万円以下:287万4000人 10.0%
- 700万円超 800万円以下:206万8000人 7.2%
- 800万円超 900万円以下:142万8000人 4.9%
- 900万円超 1000万円以下:104万7000人 3.6%
- 1000万円超 1500万円以下:180万8000人 6.3%
- 1500万円超 2000万円以下:40万5000人 1.4%
- 2000万円超 2500万円以下:12万9000人 0.4%
- 2500万円超:14万9000人 0.5%
