3. 地方公務員のラスパイレス指数
まずは、「ラスパイレス指数」の概要について、総務省の資料から抜粋しました。
※ラスパイレス指数:全地方公共団体の一般行政職の給料月額を同一の基準で比較するため、国の職員数(構成)を用いて、学歴や経験年数の差による影響を補正し、国の行政職俸給表(一)適用職員の俸給月額を100として計算した指数。
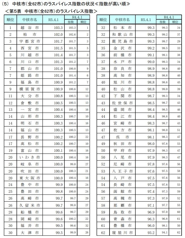
つまり、ラスパイレス指数が高いほうが、基準に比べて給料の水準が高いことを意味します。それでは、中核市(全62市)におけるラスパイレス指数を見てみましょう。
<中核市(全62市)のラスパイレス指数(高い順)>
- 1 越谷市 103.3
- 2 柏市 102.0
- 3 宇都宮市 101.7
- 4 西宮市 101.5
- 5 川越市 101.4
- 6 川口市 101.3
- 7 郡山市 101.0
- 7 姫路市 101.0
- 9 福島市 100.9
- 9 横須賀市 100.9
- 11 大分市 100.8
- 12 倉敷市 100.5
- 13 一宮市 100.4
- 14 山形市 100.3
- 14 明石市 100.3
- 14 福山市 100.3
- 17 長野市 100.2
- 17 高松市 100.2
- 19 富山市 100.1
- 20 いわき市 100.06
- 20 岐阜市 100.0
- 20 吹田市 100.0
- 20 東大阪市 100.0
- 24 豊中市 99.9
- 25 豊田市 99.8
- 26 高崎市 99.7
- 26 久留米市 99.7
- 28 船橋市 99.6
- 28 岡崎市 99.6
- 30 福井市 99.5
- 30 大津市 99.5
- 32 松本市 99.3
- 32 和歌山市 99.3
- 32 鹿児島市 99.3
- 35 金沢市 99.2
- 36 前橋市 99.1
- 37 水戸市 99.0
- 38 奈良市 98.9
- 38 高知市 98.9
- 40 旭川市 98.8
- 40 松山市 98.8
- 42 下関市 98.7
- 43 佐世保市 98.5
- 44 盛岡市 98.4
- 44 松江市 98.4
- 46 宮崎市 98.3
- 47 枚方市 98.1
- 47 呉市 98.1
- 49 秋田市 98.0
- 50 甲府市 97.9
- 50 八尾市 97.9
- 52 尼崎市 97.8
- 53 八王子市 97.6
- 54 八戸市 97.5
- 54 長崎市 97.5
- 56 函館市 97.4
- 57 高槻市 97.3
- 58 那覇市 97.1
- 59 鳥取市 96.9
- 60 青森市 96.3
- 61 豊橋市 96.0
- 62 寝屋川市 93.2
次に、地域手当の支給状況を見てみましょう。
4. 地域手当の支給状況
4.1 地域手当支給団体数と割合
- 全地方公共団体:468団体(26.2%)
- 都道府県:32団体(68.1%)
- 指定都市:19団体(95.0%)
- 市町村:394団体(23.2%)
- 特別区:23団体(100.0%)
全1788団体のうち、地域手当を支給しているのは468団体であり、その割合は26.2%となっています。
都道府県や指定都市、特別区では地域手当が支給されるケースが多い一方で、市町村も支給割合は23.2%に留まります。
次に、国基準を上回る支給率の団体を見てみましょう。
4.2 国基準を上回る支給率の都道府県
- 東京都
4.3 国基準を上回る支給率の市町村
- 茨城県:東海村
- 群馬県:中之条町
- 埼玉県:川口市、戸田市、三芳町
- 千葉県:市川市、流山市、鎌ヶ谷市、君津市、芝山町
- 東京都:三鷹市、東久留米市、武蔵村山市、羽村市、瑞穂町、日の出町、檜原村、奥多摩町
- 神奈川県:藤沢市、綾瀬市、寒川町、中井町、大井町、松田町、山北町、開成町、湯河原町、愛川町、清川村
- 山梨県:昭和町
- 静岡県:湖西市、清水町、長泉町、小山町
- 愛知県:岡崎市、一宮市、半田市、碧南市、安城市、蒲郡市、小牧市、東海市、大府市、高浜市、飛島村、武豊町、幸田町
- 三重県:朝日町、川越町
- 京都府:大山崎町、久御山町
- 兵庫県:稲美町、播磨町
- 福岡県:筑紫野市、宗像市、古賀市、篠栗町、須恵町、久山町、苅田町、みやこ町
5. まとめにかえて
今回は、地方公務員の有給所得率や平均給与月額、地域手当について調査を行いました。
それぞれ、所属する地方公共団体によって異なることがお分かりになったと思います。
地方公務員への転職を目指すなら、所属を希望する先の労働環境や待遇を事前に確認しましょう。
参考資料
加藤 聖人


