年収1000万円以上は日本でほんの一握り
先述の通り、管理職の経験がある方が、年収1000万円以上の割合が多いことがわかりました。
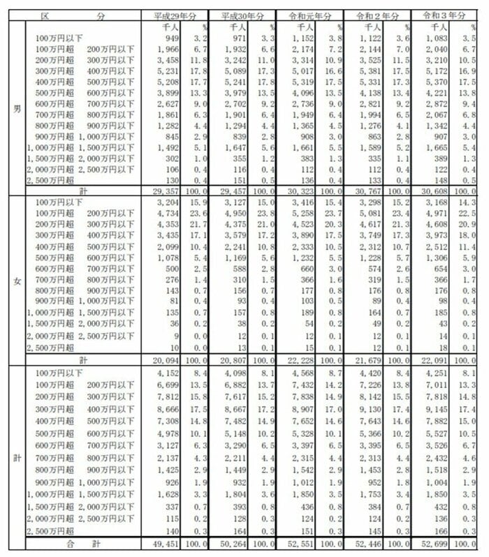
ここで、実際に年収1000万円をもらっている人はどのくらいいるかも確認します。
ここからは、国税庁の「令和3年度民間給与実態統計調査」を参考にします。
1年を通じて勤務した給与所得者5270万人のうち、年収1000万円以上の割合は全体の5%程度にとどまります。
男性では、年間給与額400万円超500万円以下の者が537万人(同17.5%)と最も多く、次いで300万円超400万円以下の者が517万人(同16.9%)です。
女性では、100万円超200万円以下の者が497万人(同22.5%)と最も多く、次いで200万円超300万円以下の者が461万人(同20.9%)となっています。
全体の平均年収が443万円であることも考慮すると、年収1000万円以上は高水準であるといえそうです。
