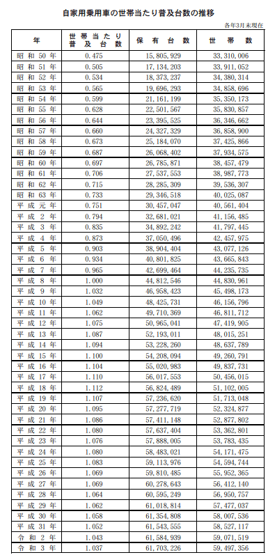
自家用乗用車の世帯当たり普及台数は右肩下がり
実は全国における自家用乗用車の普及台数は伸び続けています。
2021年3月末には、普及台数は6170万台にも達し、過去最高の水準となっています。
しかし、その一方で、高齢化や核家族化も相まって、世帯数も同様に増え続けています。
世帯数は5949万世帯にも達しています。
その結果、世帯当たりの普及台数は右肩下がりとなっており、先ほど見たように世帯当たりの普及台数はほぼ1台程度となっています。
実は全国における自家用乗用車の普及台数は伸び続けています。
2021年3月末には、普及台数は6170万台にも達し、過去最高の水準となっています。
しかし、その一方で、高齢化や核家族化も相まって、世帯数も同様に増え続けています。
世帯数は5949万世帯にも達しています。
その結果、世帯当たりの普及台数は右肩下がりとなっており、先ほど見たように世帯当たりの普及台数はほぼ1台程度となっています。