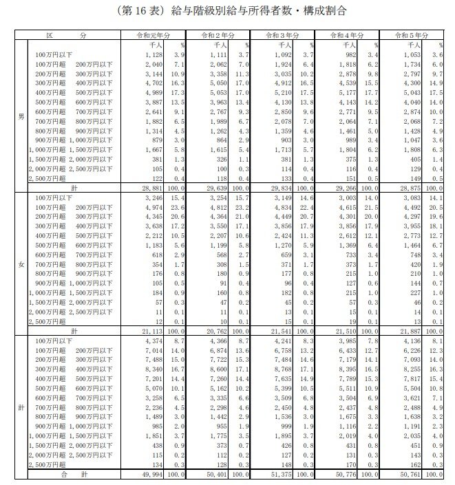
「今後 専業主婦になりたい」女性は約2割。専業主婦世帯の平均年収はどのくらい? 共働き世帯・専業主婦世帯「家事・育児などの時間」夫婦の差はどれほどあるのか 2025.06.05 15:45 公開 執筆者吉沢 良子 監修者宮野 茉莉子 「今後、専業主婦になりたい」と思う女性の割合の変化【全体】 02/04 出所:博報堂生活総合研究所「生活定点」調査よりグラフをダウンロード 「今後、専業主婦になりたい」と思う女性の割合の変化【年代別】 03/04 出所:博報堂生活総合研究所「生活定点」調査よりグラフをダウンロード 給与階級別給与所得者数・構成割合 04/04 出所:国税庁「令和5年分 民間給与実態統計調査」 この写真の記事へ戻る 吉沢 良子 copy URL 執筆者 吉沢 良子 株式会社モニクルリサーチ メディア編集本部 LIMO編集部記者/校閲者/編集者/マネー・終活関連記事担当 早稲田大学卒。公益法人勤務を経て、フリーランス校閲・校正・編集者として15年以上の経験を持つ。2020年よりLIMO編集部に所属。現在は、厚生労働省管轄の公的年金(厚生年金保険と国民年金)、介護や終活など「シニアを取り巻くくらしとお金」にまつわる記事を担当。総務省「家計調査」や、厚生労働省「厚生年金保険・国民年金事業の概況」などの一次資料に基づくデータ記事の執筆に強み。ビジネスケアラー生活を乗り切り認知症の家族の看取りを経験した。「認知症介助士」取得。趣味は美術館巡り、映画鑑賞、庭いじり。(2024年5月27日更新) 監修者 宮野 茉莉子 株式会社モニクルリサーチ メディア編集本部 LIMO編集長/2級ファイナンシャル・プランニング技能士(FP2級) 東京女子大学哲学科卒業後、野村證券株式会社に入社。国内外株式や債券、投資信託、保険商品などの提案・販売を通じ、主に個人顧客や富裕層向けの資産運用コンサルティング業務に従事。特に株式や債券、投資信託の提案を得意とし、顧客ニーズやライフプランに寄り添った提案が強み。2級ファイナンシャル・プランニング技能士(FP2級)、一種外務員資格(証券外務員一種)保有。 現在は株式会社モニクルリサーチが運営する「くらしとお金の経済メディア~LIMO(リーモ)~」編集長。LIMOでは厚生労働省、金融庁、総務省、デジタル庁、財務省(国税庁)といった官公庁の公開情報など、信頼性の高い情報をもとに厚生労働省管轄の公的年金(厚生年金保険と国民年金)、年金制度の仕組み、社会保障、雇用、退職金、貯蓄、資産運用、新NISA、キャリアなどをテーマに編集・執筆を行う。3児のひとり親であり中学・高校社会科(公民)教員免許保有(2024年9月4日更新)。 あわせて読みたい