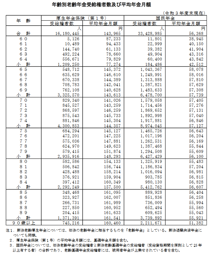
【年金エイジ】65歳以上・無職世帯の年金額と貯蓄額は?毎月いくら貯蓄を取り崩している? 国民年金と厚生年金で大きな差 2023.04.11 04:45 公開 執筆者長井 祐人 02/04 出所:内閣府「令和4年版高齢者社会白書(全体版)」 03/04 出所:厚生労働省年金局「令和3年度 厚生年金保険・国民年金事業の概況」 04/04 出所:総務省統計局「家計調査年報(家計収支編)2021年(令和3年)Ⅱ総世帯及び単身世帯の家計収支」 平均貯蓄現在高:2342万円 この写真の記事へ戻る 長井 祐人 copy URL 執筆者 長井 祐人 ファイナンシャルアドバイザー 日本大学国際関係学部卒業後、東洋証券株式会社に入社。国内外株式、債券、投資信託、保険商品の販売を通じ、主に個人顧客向けの資産運用コンサルティング業務に従事する。特に中国株・投資信託の提案を得意とし、自身でも幅広く投資を行ってきたため、豊富な金融知識を活かした顧客ニーズに沿う提案が強み。現在は個人向け資産運用のサポート業務を行う。3級ファイナンシャル・プランニング技能士(FP3級)、一種外務員資格(証券外務員一種)を保有(2023年11月27日更新)。 あわせて読みたい