2024年6月5日に労働組合の中央組織である連合が公表した「2024春季生活闘争 第6回回答集計結果」によれば、見込み賃上げ額は1万5236円と、前年より5.08%上昇しています。
今後も賃上げの流れは継続することが予想されます。
とはいえ、大幅な年収アップを目指すのであれば、転職や独立などキャリアを見直すことが重要です。
富裕層になるべく「年収1500万円」を目標に掲げている人もいるでしょう。
年収1500万円の人は、国内にどれくらいいるのでしょうか。
この記事では、年収1500万円の人の割合や日本の平均年収について解説します。
後半では年収アップのためにできることを紹介します。
年収増を目指したい人は、ぜひ参考にしてください。
1. 年収1500万円超の割合は何パーセントか
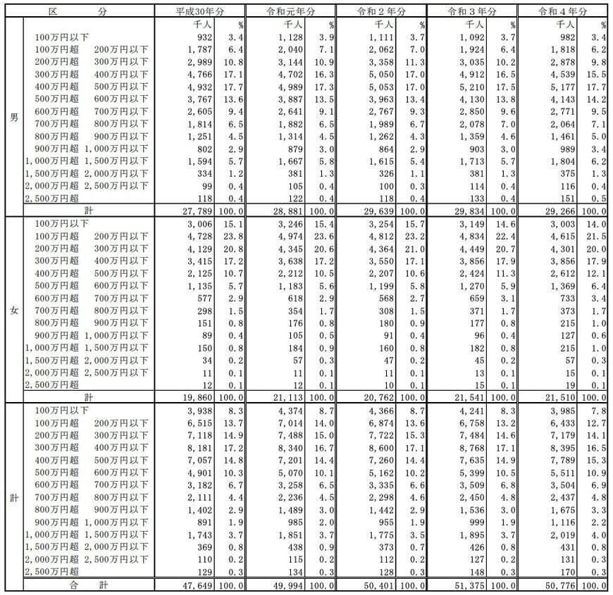
国税庁の「令和4年分 民間給与実態調査統計」によれば、年収1500万円を超えている人は73万2000人で、全体の1.4%とごく少数です。
同調査では、給与所得者数の合計が約5967万人との結果も出ていることから、年収1500万円以上の人がいかに少数であるかがわかるでしょう。
国内の上位1%に入るのは、大変困難だと考えられます。
