年度末が近づき、来年度のベースアップに期待を寄せている方もいるのではないでしょうか。
さて、皆さんは「年収600万」というと、どのようなイメージをもつでしょうか。実は、日本では年収600万円というと「高収入」の分類に入ります。
令和4年の平均年収が458万円であり、そう考えると600万円は平均よりもかなり高い水準となっているのです。
また、国税庁の「令和4年分民間給与実態統計調査」によると、年収600万円を超える人は全体の2割強に過ぎません。
この記事では、日本の給与所得者の年収分布や、男女別の年収600万円を超える業種について解説します。
1. 【年収600万円】日本では何パーセントいる?男女に差は?
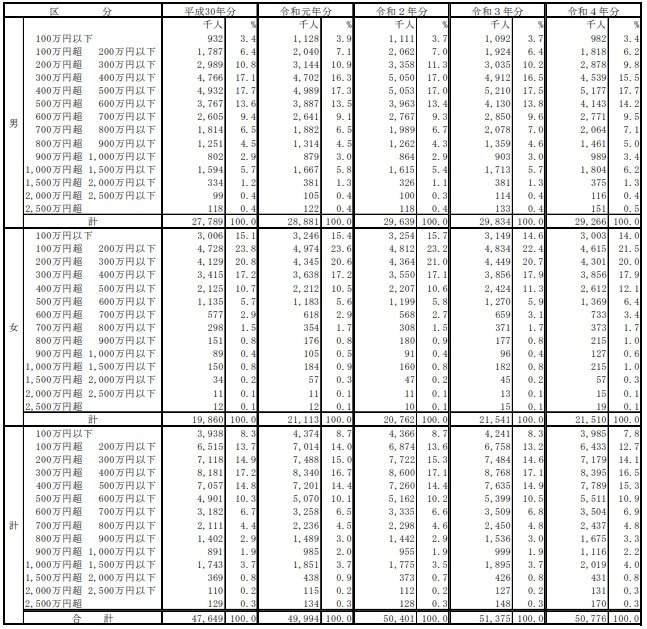
国税庁の「令和4年分 民間給与実態統計調査」の「年齢階層別の平均給与」より、男女をあわせた年収の分布をみてみましょう。
2023年9月に国税庁が公表した「令和4年分 民間給与実態調査統計」によると、2022年の給与所得者の総数は5077万6000人。
そのうち年収が600万円超~700万円以下の給与所得者の人数は350万4000人です。これは全体の6.9%に相当し、上位22.6%に入る層です。
男性の中でこの年収層に該当するのは277万1000人で、男性全体の9.5%を占めます。
女性のみに絞ると、女性給与所得者は73万3000人。女性給与所得者の3.4%に相当し、女性給与所得者の上位8.2%に含まれる層です。
女性の場合、ライフイベントによって働き方を変えることが多く、給与平均が低くなる傾向があります。
