昨今は物価高騰や賃上げの進行などが話題となっていますが、年収1000万円を超える方は引き続き少数派で、世間一般で見れば高収入といえるしょう。
年度の区切りで転職を考える方も増えますが、年収1000万円を目指すのは至難の業です。
実際に年収1000万円を達成する人は日本にどれほどいるのでしょうか。
今回の記事では、年収1000万円を超える方の割合や手取りの目安などをまとめました。
1. 年収1000万円を超える給与所得者はおよそ5%
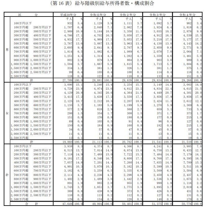
国税庁の令和4年の民間給与実態統計調査によると、各年収の分布は次の通りです。
- 100万円以下:7.8%
- 100万円超 200万円以下:12.7%
- 200万円超 300万円以下:14.1%
- 300万円超 400万円以下:16.5%
- 400万円超 500万円以下:15.3%
- 500万円超 600万円以下:10.9%
- 600万円超 700万円以下:6.9%
- 700万円超 800万円以下:4.8%
- 800万円超 900万円以下:3.3%
- 900万円超 1000万円以下:2.2%
- 1000万円超 1500万円以下:4.0%
- 1500万円超 2000万円以下:0.8%
- 2000万円超 2500万円以下:0.3%
- 2500万円超:0.3%
1000万円以上の方は全体のおよそ5%程度となっています。また、平均は458万円で前年比2.7%増です。
近年賃上げが進んで「1000万円は高収入とはいえないのでは」と考える方もいます。
しかし、現実には1000万円以上の年収は少数派で、平均の2倍以上の水準です。
令和の現代においても、年収1000万円は高収入といえるでしょう。
2. 高年収の業種や50歳代でも平均年収1000万円に遠く及ばず
業種別の平均給与を見ると、もっとも高い業種は電気・ガス・熱供給・水道業です。
ただし、それでも平均年収は747万円。続く金融業・保険業も656万円と、年収1000万円には遠く及びません。
また年齢別に平均年収がもっとも高くなるのは55~59歳。それでも男性の平均年収は702万円、女性の平均年収は329万円です。
