2.1 【70歳代・単身世帯の金融資産保有額】
- 平均:1433万円
- 中央値:485万円
2.2 【内訳】
- 金融資産非保有:28.3%
- 100万円未満:5.2%
- 100万円~200万円未満:4.0%
- 200万円~300万円未満:4.2%
- 300万円~400万円未満:4.6%
- 400万円~500万円未満:3.0%
- 500万円~700万円未満:8.8%
- 700万円~1000万円未満:4.8%
- 1000万円~1500万円未満:5.6%
- 1500万円~2000万円未満:5.8%
- 2000万円~3000万円未満:8.2%
- 3000万円以上:16.1%
- 無回答:1.2%
70歳代ひとり世帯の貯蓄額の平均は、1433万円です。平均値は上下の大きな数字に影響を受けるため、より実態に近い中央値で見ると485万円と大幅に少ないことが分かります。
更に、上記の円グラフから2000万円以上の貯蓄がある方は24.3%、全く貯蓄がない方は全体の28.3%と、同じような割合になっていることも見て取れます。
0円と2000万円以上ではその後の生活レベルに大きな影響があると考えられるため、老後の生活にも個人差が大きいことがうかがえますね。
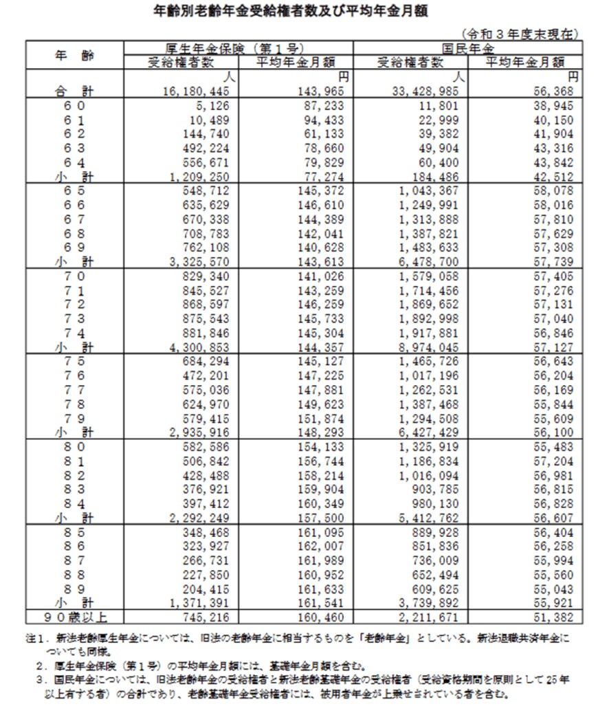
3. 【70歳代の年金】おひとりさまの平均月額はいくらか
ここからは、70歳代の国民年金と厚生年金の平均受給月額を厚生労働省年金局「令和3年度 厚生年金保険・国民年金事業の概況」で確認します。
3.1 国民年金の月額平均
- 70歳 5万7405円
- 71歳 5万7276円
- 72歳 5万7131円
- 73歳 5万7040円
- 74歳 5万6846円
- 75歳 5万6643円
- 76歳 5万6204円
- 77歳 5万6169円
- 78歳 5万5844円
- 79歳 5万5609円

