平均給与はいくらなのか
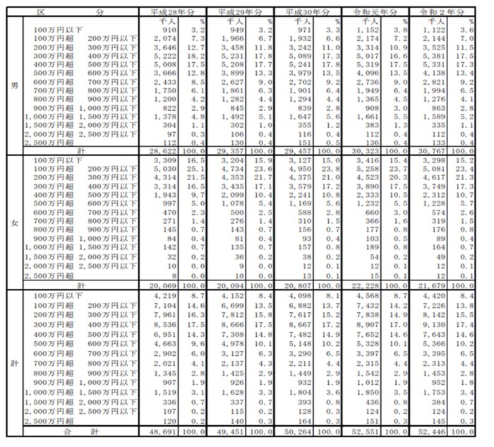
まずは国税庁の「令和2年分 民間給与実態統計調査」の「(第16表)給与階級別給与所得者数・構成比」から、男女を合わせた年収の分布を見ていきましょう。
年収600万円台は6.5%であり、600万円以上となるのは全体のおよそ2割で、多いとは言えません。
さらに男女別に見ると、男性で約30%、女性では約6%の割合となります。
次に、平均給与を年齢別に確認します。
男性の場合、年収が600万円超に届くのは45歳から59歳までとなっています。
一般的に管理職や役員などに昇進して、現役時代の最も年収が高い時にようやく到達できる給与水準だということが分かります。
一方、女性ではどの年代においても年収が600万円を超えません。ピークを迎えるのは45~49歳ですが、それでも平均給与は321万円。高い壁であることがわかります。

