年収600万円と聞くと、「不自由ない生活が可能」という印象でしょうか。
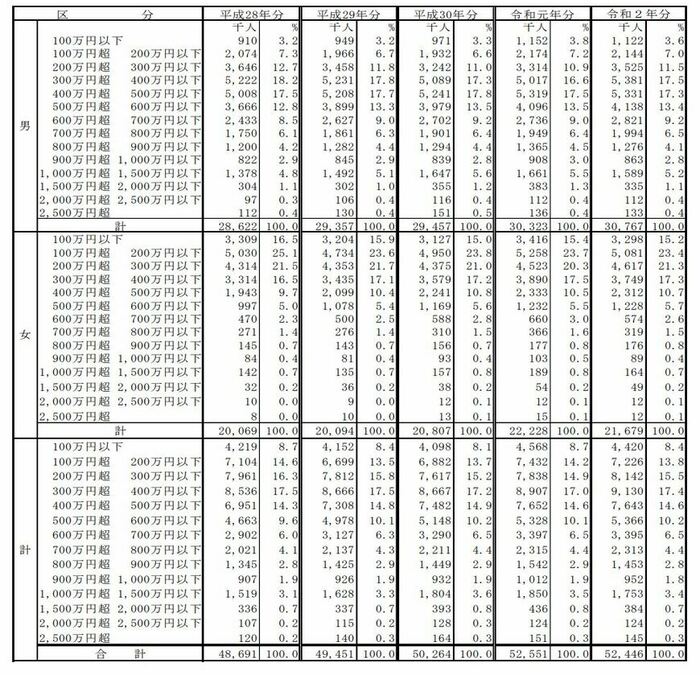
最近は共働きで世帯収入を上げる「パワーカップル」という言葉もありますが、国税庁の調査によれば、単身で年収600万円は日本で約6.5%です。
そこで今回は年収600万円超の業種や貯蓄、手取りの実態をご紹介していきたいと思います。
年収600万円と聞くと、「不自由ない生活が可能」という印象でしょうか。
最近は共働きで世帯収入を上げる「パワーカップル」という言葉もありますが、国税庁の調査によれば、単身で年収600万円は日本で約6.5%です。
そこで今回は年収600万円超の業種や貯蓄、手取りの実態をご紹介していきたいと思います。