「年収400万~500万円」は全体の何パーセント?
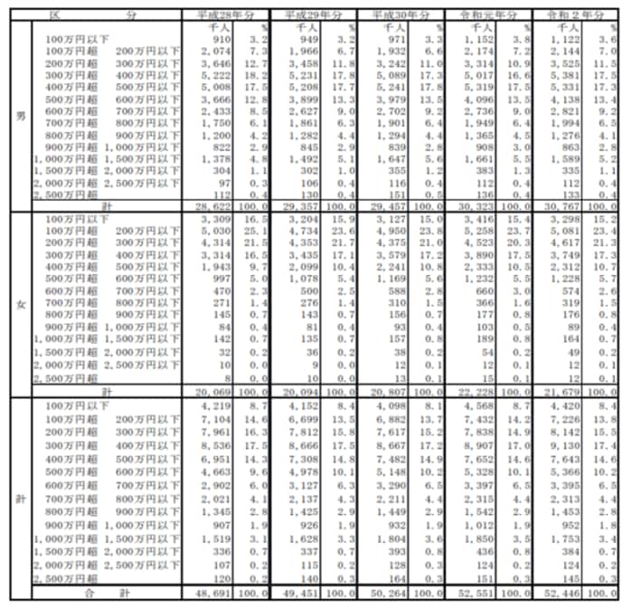
同資料から、給与階級別の分布を確認します。
- 給与所得者全体:5244万6000人
- 年収400万円超500万円以下:764万3000人
上記の結果から、「400万円超500万円以下」の給与所得者は、全体の14.6%パーセントであることがわかります。一番多いのが「300万円超400万円以下」、ついで「200万円超300万円以下」、そして「400万円超500万円以下」と続くので、年収400万円~500万円はボリュームゾーンより少し高めといえます。
しかし、男女では差が見られます。男性のボリュームゾーンが「300万円超400万円以下」なのに対し、女性は「100万円超200万円以下」。非正規雇用や時短勤務などで調整する方も多いため、賃金に差が出てくると考えられます。
ちなみに、正規雇用の平均給与が496万円なのに対して、非正規雇用の平均給与は176万円です。非正規雇用だけでみると前年度調査よりも増えていますが、まだまだ格差があるのが実情ですね。
