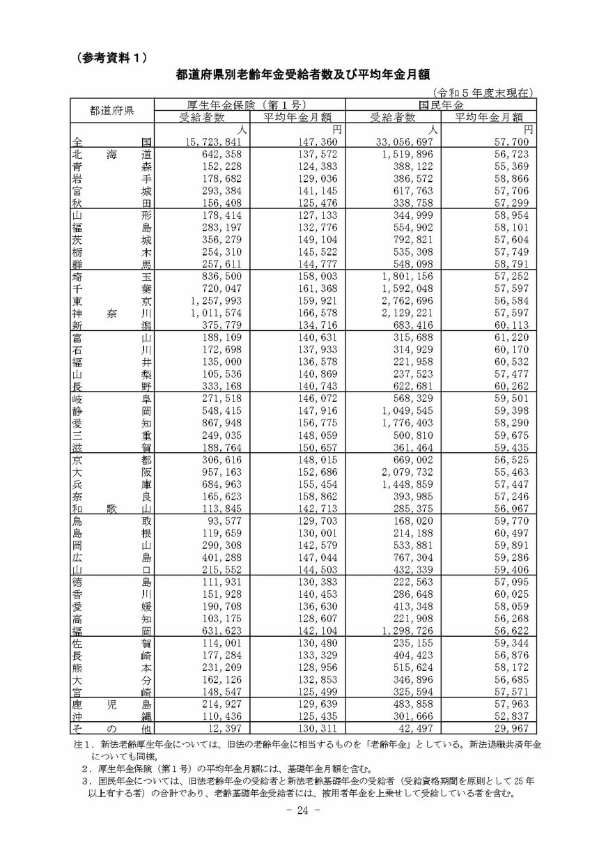
【比較】厚生年金の平均年金月額「多い都道府県」「少ない都道府県」はどこ?ランキング形式で見る 《働くシニアはチェックして!》106万円の壁撤廃!?年金制度改正「社保拡大」も解説 2025.08.27 05:30 公開 執筆者入慶田本 朝飛 02/05 出所:厚生労働省「令和5年度 厚生年金保険・国民年金事業の概況」 03/05 出所:日本年金機構 年金用語集「は行 報酬比例部分」 04/05 出所:厚生労働省「年収の壁・支援強化パッケージ」に関するQ&A(キャリアアップ助成金関係) 05/05 出所:厚生労働省「年金制度改正法が成立しました」 この写真の記事へ戻る 入慶田本 朝飛 copy URL 執筆者 入慶田本 朝飛 ファイナンシャルアドバイザー/2級FP技能士 沖縄県出身。大学卒業後、ほけんの窓口グループ株式会社に入社。新卒5年目で管理職としてマネジメント業務を経験。その後、金融系メディアにて金融機関への企画立案から実行、上場会社へのIR施策営業、SaaS企業でカスタマーサクセスとしてシステム導入のコンサルから伴走支援、セミナーの講師を経験。 現在は金融系IT企業で、働く世代を中心とした個人向けの資産運用コンサルティング業務を行う。一種外務員資格(証券外務員一種)、2級ファイナンシャル・プランニング技能士(FP2級)を保有。 あわせて読みたい