「年収600万円」と聞くと、どのようなイメージを持たれるでしょうか。国税庁の「令和2年分 民間給与実態統計調査」によると、現在日本の平均年収は433万円です。
こちらには非正規で働く方の金額も含まれますが、日本全体の平均年収が433万円となれば、「年収600万円」は高収入に感じる方もいるのではないでしょうか。
しかし平均は一部の値に引っ張られることも多く、この金額だけで実情をつかむのは難しいです。
今回は、年収600万円の割合を男女別に深掘りするとともに、どんな業種なら狙えるのかをさぐってみましょう。
日本で「年収600万円以上」は何割いるのか
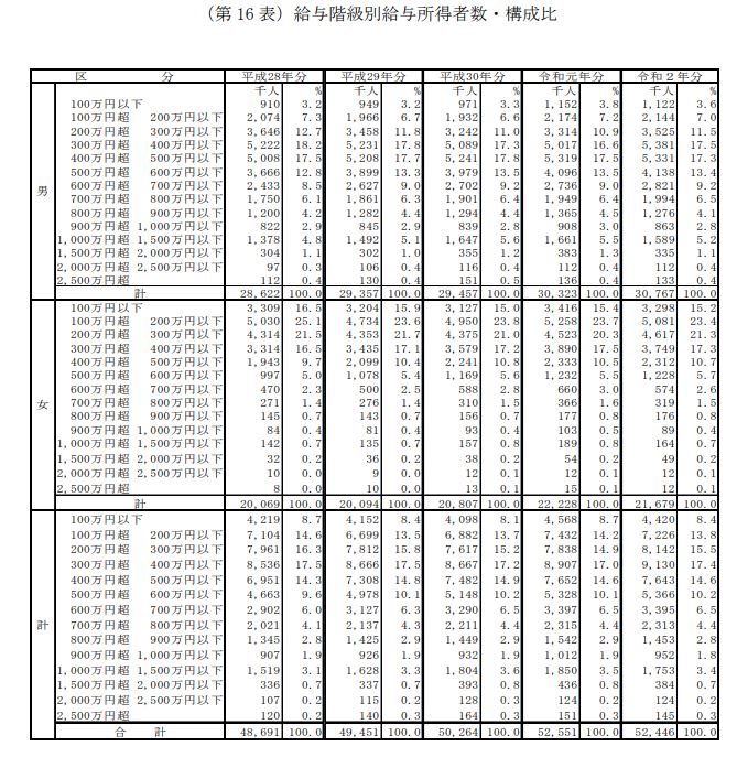
国税庁の「令和2年分 民間給与実態統計調査」の「(第 16 表)給与階級別給与所得者数・構成比」より、男女をあわせた年収の分布をみてみましょう。
全体では「年収600万円」の割合が6.5%となりました。年収600万円以上に広げると、その割合は約20%まで増えます。
しかし男女別に見てみると、年収600万円以上の男性は約30%、女性は約6%です。
また年齢別に確認してみると、男性では45歳~59歳で年収600万円を超えることがわかりました。一方で、女性ではどの年代でも年収600万円を超えることがありません。
女性は男性に比べ、ライフイベントの節目で働き方を変えることも多く、非正規を含む調査では給与平均が低い傾向にあります。
